水泥净浆流动度测定
一、操作步骤
1. 将玻璃板放置在水平位置,用湿布抹擦玻璃、截锥园模、搅拌器及搅拌锅,使其表面湿而不带水渍。将截锥园模放在玻璃板的中央,并用湿布覆盖待用。
2. 称取水泥300g,倒入搅拌锅内,加入推荐掺量的外加剂及87g或105g水,搅拌3min。
3. 将拌好的净浆迅速注入截锥园模内,用刮刀刮平,将截锥园模按垂直方向提起,同时开启秒表计时,任水泥净浆在玻璃板上流动,至30s,用直尺量取流淌部分到相垂直的两个方向的最大直径取平均值作为水泥净浆流动度。
二、结果表示
表示净浆流动度时,需注明用水量,所用水泥的强度等级标号、名称、型号及生产厂和外加剂掺量。
三、允许差
允许差为5mm
注:现在市场40%固含的羧酸母液,取一克做水泥净浆,流动度基本在270MM以上。)
砂浆减水率测定
本方法适用于测定外加剂对水泥的分散效果,以水泥砂浆减水率表示其工作性,当水泥净浆流动度试验不明显时可用此法。
一、方法提要
先测定基准砂浆流动度的用水量,再测定掺外加剂砂浆流动度的用水量,然后,测定加入基准砂浆流动度的用水量时的砂浆流动度。以水泥砂浆减水率表示其工作性。
二、仪器
a)胶砂搅拌机:符合JC/T 681的要求;
b)跳桌、截锥园模及模套、圆柱捣棒、卡尺均应符合GB/T 2419的规定;
c)抹刀;
d)药物天平:称量100g,分度值0.1g;
e)台秤:称量5kg。
三、材料
a)水泥;
b)ISO标准砂:
砂的颗粒级配及湿含量完全符合ISO标准砂的规定,各级配以1350g±5g量的塑料袋混合包装,但所用塑料袋材料不得影响砂浆工作性试验结果。
c)外加剂。
四、试验步骤
1 基准砂浆流动度用水量的测定
1.1 先使搅拌机处于待工作状态,然后按以下程序进行操作:把水加入锅里,再加入水泥450g,把锅放在固定架上,上升到固定位置,然后立即开动机器,低速搅拌30s后,在第二个30s开始的同时均匀地将啥子加入,机器转至高速再搅拌30s。停拌90s,在第一个15s内用一模刀将叶片和锅壁上的胶砂刮入锅中间。在高速下继续搅拌60s。各个阶段搅拌时间误差应在±1s以内。
1.2 在拌和砂浆的同时,用湿布模擦跳桌的玻璃台面、捣棒、截锥圆模及模套内壁,并把它们置于玻璃台面中心,盖上湿布,备用。
1.3 将拌好的砂浆迅速的分两次装入模内,第一次装入截锥圆模的三分之二处,用抹刀在相互垂直的两个方向各划5次,并用捣棒自边缘向中心均匀捣15次,接着装第二层砂浆,装至高出截锥圆模约20mm,用抹刀划10次。在装胶砂和捣实时,用手将截锥圆模按住,不要使其产生移动。
.1.4 捣好后取下模套,用抹刀将高出截锥圆模的胶砂刮去并抹平,随即将截锥圆模垂直向上提起置于台上,立即开动跳桌,以每秒一次的频率使跳桌连续跳动30次。
1.5 跳动完毕用卡尺量出砂浆底部流动直径,取相互垂直的两个直径的平均值为该用水量时的砂浆流动度,用mm表示。
1.6 重复上述步骤,直至流动度达到180±5mm。当砂浆流动度为180±5mm时的用水量即为基准砂浆流动度的用水量M0。
2 掺外加剂砂浆流动度用水量测定
2.1 将水和外加剂加入锅里搅拌均匀,按上述步骤测出掺外加剂砂浆流动度达180±5mm时的用水量M1。
2.2 将外加剂和基准砂浆流动度的用水量M0加入锅里,人工搅拌均匀,再按第一次测定步骤,测定加入基准砂浆流动度的用水量时的砂浆流动度,以mm表示。
五、结果表示
1. 砂浆减水率
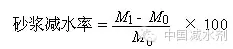
砂浆减水率(%)计算公式:
式中:
M0——基准砂浆流动度为180±5mm时的用水量,g;
M1——掺外加剂的砂浆流动度为180±5mm时的用水量,g。
2. 注明所用水泥的标号、名称、型号及生产厂。
3. 当仲裁试验时,必须采用基准水泥。
六、允许差
允许差为1.0%;
一、操作步骤
1. 将玻璃板放置在水平位置,用湿布抹擦玻璃、截锥园模、搅拌器及搅拌锅,使其表面湿而不带水渍。将截锥园模放在玻璃板的中央,并用湿布覆盖待用。
2. 称取水泥300g,倒入搅拌锅内,加入推荐掺量的外加剂及87g或105g水,搅拌3min。
3. 将拌好的净浆迅速注入截锥园模内,用刮刀刮平,将截锥园模按垂直方向提起,同时开启秒表计时,任水泥净浆在玻璃板上流动,至30s,用直尺量取流淌部分到相垂直的两个方向的最大直径取平均值作为水泥净浆流动度。
二、结果表示
表示净浆流动度时,需注明用水量,所用水泥的强度等级标号、名称、型号及生产厂和外加剂掺量。
三、允许差
允许差为5mm
注:现在市场40%固含的羧酸母液,取一克做水泥净浆,流动度基本在270MM以上。)
砂浆减水率测定
本方法适用于测定外加剂对水泥的分散效果,以水泥砂浆减水率表示其工作性,当水泥净浆流动度试验不明显时可用此法。
一、方法提要
先测定基准砂浆流动度的用水量,再测定掺外加剂砂浆流动度的用水量,然后,测定加入基准砂浆流动度的用水量时的砂浆流动度。以水泥砂浆减水率表示其工作性。
二、仪器
a)胶砂搅拌机:符合JC/T 681的要求;
b)跳桌、截锥园模及模套、圆柱捣棒、卡尺均应符合GB/T 2419的规定;
c)抹刀;
d)药物天平:称量100g,分度值0.1g;
e)台秤:称量5kg。
三、材料
a)水泥;
b)ISO标准砂:
砂的颗粒级配及湿含量完全符合ISO标准砂的规定,各级配以1350g±5g量的塑料袋混合包装,但所用塑料袋材料不得影响砂浆工作性试验结果。
c)外加剂。
四、试验步骤
1 基准砂浆流动度用水量的测定
1.1 先使搅拌机处于待工作状态,然后按以下程序进行操作:把水加入锅里,再加入水泥450g,把锅放在固定架上,上升到固定位置,然后立即开动机器,低速搅拌30s后,在第二个30s开始的同时均匀地将啥子加入,机器转至高速再搅拌30s。停拌90s,在第一个15s内用一模刀将叶片和锅壁上的胶砂刮入锅中间。在高速下继续搅拌60s。各个阶段搅拌时间误差应在±1s以内。
1.2 在拌和砂浆的同时,用湿布模擦跳桌的玻璃台面、捣棒、截锥圆模及模套内壁,并把它们置于玻璃台面中心,盖上湿布,备用。
1.3 将拌好的砂浆迅速的分两次装入模内,第一次装入截锥圆模的三分之二处,用抹刀在相互垂直的两个方向各划5次,并用捣棒自边缘向中心均匀捣15次,接着装第二层砂浆,装至高出截锥圆模约20mm,用抹刀划10次。在装胶砂和捣实时,用手将截锥圆模按住,不要使其产生移动。
.1.4 捣好后取下模套,用抹刀将高出截锥圆模的胶砂刮去并抹平,随即将截锥圆模垂直向上提起置于台上,立即开动跳桌,以每秒一次的频率使跳桌连续跳动30次。
1.5 跳动完毕用卡尺量出砂浆底部流动直径,取相互垂直的两个直径的平均值为该用水量时的砂浆流动度,用mm表示。
1.6 重复上述步骤,直至流动度达到180±5mm。当砂浆流动度为180±5mm时的用水量即为基准砂浆流动度的用水量M0。
2 掺外加剂砂浆流动度用水量测定
2.1 将水和外加剂加入锅里搅拌均匀,按上述步骤测出掺外加剂砂浆流动度达180±5mm时的用水量M1。
2.2 将外加剂和基准砂浆流动度的用水量M0加入锅里,人工搅拌均匀,再按第一次测定步骤,测定加入基准砂浆流动度的用水量时的砂浆流动度,以mm表示。
五、结果表示
1. 砂浆减水率
砂浆减水率(%)计算公式:
式中:
M0——基准砂浆流动度为180±5mm时的用水量,g;
M1——掺外加剂的砂浆流动度为180±5mm时的用水量,g。
2. 注明所用水泥的标号、名称、型号及生产厂。
3. 当仲裁试验时,必须采用基准水泥。
六、允许差
允许差为1.0%;